





Contents
- Theory
- How to use the system
- Calculator
I. Theory
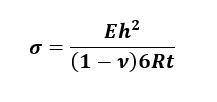
The FLX-2320-S measures the change in the radius of curvature of your wafer or substrate caused by the deposition of a stressed thin film. The following equation is used to calculate the stress :

Where
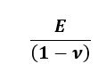
is the biaxial elastic modulus of the substrate [Pa]
h is the substrate thickness [m]
t is the film thickness [m]
R is the substrate radius of curvature [m]
σ is the average film stress [Pa]

After the film has been deposited, the substrate deforms from the initial radius R1 to a new Radius R2. Since the stress is inversely proportional to the radius, the effective radius R is given by :
The thin film stress is now determined by using the effective radius R in the equation described above.
From that, it becomes clear that the radius has to be measured before and after the deposition !
II. How to use the system
Please refer to the user manual :
III. Calculator
Use this excel sheet to play with the equation above. Useful to calculate the film thickness required to correct the bow of your substrate for instance.





