Using genetic algorithms to systematically improve the synthesis conditions of Al-PMOF

N. P. Domingues, S. M. Moosavi, L. Talirz, K. M. Jablonka, C. P. Ireland, F. M. Ebrahim, and B. Smit, Using genetic algorithms to systematically improve the synthesis conditions of Al-PMOF Commun Chem 5 (1), 170 (2022) doi: 0.1038/s42004-022-00785-2

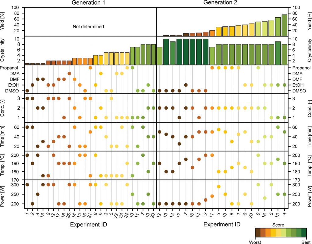
Abstract: The synthesis of metal-organic frameworks (MOFs) is often complex and the desired structure is not always obtained. In this work, we report a methodology that uses a joint machine learning and experimental approach to optimize the synthesis conditions of Al-PMOF (Al2(OH)2TCPP) [H2TCPP = meso-tetra(4-carboxyphenyl)porphine], a promising material for carbon capture applications. Al-PMOF was previously synthesized using a hydrothermal reaction, which gave a low throughput yield due to its relatively long reaction time (16 hours). Here, we use a genetic algorithm to carry out a systematic search for the optimal synthesis conditions and a microwave-based high-throughput robotic platform for the syntheses. We show that, in just two generations, we could obtain excellent crystallinity and yield close to 80% in a much shorter reaction time (50 minutes). Moreover, by analyzing the failed and partially successful experiments, we could identify the most important experimental variables that determine the crystallinity and yield.